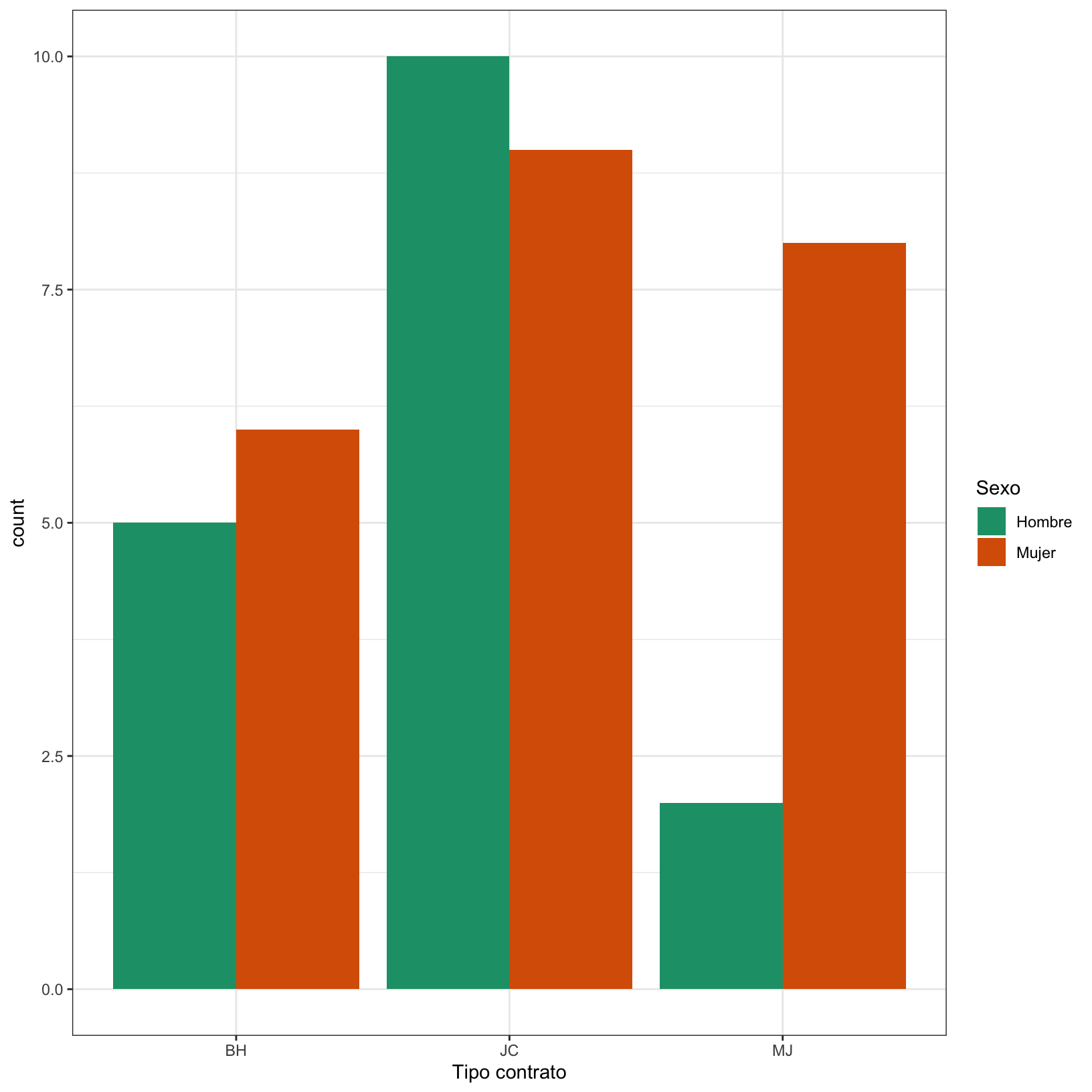
| sexo/contrato | BH | JC | MJ |
|---|---|---|---|
| Hombre | 5 | 10 | 2 |
| Mujer | 6 | 9 | 8 |
Hanwen Zhang, Ph.D.
2022-II
Cuando se tienen datos de dos variables cagtegóricas en un conjunto de individuos, se puede visualizar los datos para ver
la composición de los datos
posibles relaciones entre variables
En el ejemplo de caracterizar los 40 empleados de una sucursal de una empresa, se puede pensar si el tipo de contrato tiene alguna relación con el sexo de los empleados.
¿Existen diferencia entre hombres y mujeres en términos del tipo de contrato?
Similar al caso de 1 variable categórica, se inicia el análisis con una tabla de frecuencias (absolutas) de dos entradas,
| sexo/contrato | BH | JC | MJ |
|---|---|---|---|
| Hombre | 5 | 10 | 2 |
| Mujer | 6 | 9 | 8 |
De nuevo, la suma de las frecuencias (absolutas) de la tabla debe ser igual al número de empleados, 40.
¿Cómo cambia la interpretación al cambiar la variable del eje \(x\)?

En general, la variable que está en el eje \(x\) representa una partición de la población.




En la gráfica de barras apiladas, se permite comparar mejor entre diferentes grupos.
En la gráfica de barras agrupadas, es mejor analizar grupo por grupo.
Dependiendo de los datos y lo que se quiere mostrar, se debe elegir las barras apiladas o las agrupadas
También podemos elaborar la tabla de frecuencias relativas, tenemos 3 opciones
Opción 1: tomar los porcentajes con respecto al total
| sexo/contrato | BH | JC | MJ |
|---|---|---|---|
| Hombre | 0.125 | 0.250 | 0.05 |
| Mujer | 0.150 | 0.225 | 0.20 |
La suma de las porporciones de la tabla es 100%.
La interpretación se hace tomando todos los 40 empleados.
| sexo/contrato | BH | JC | MJ |
|---|---|---|---|
| Hombre | 0.125 | 0.250 | 0.05 |
| Mujer | 0.150 | 0.225 | 0.20 |
Lectura:
12.5% de los empleados son hombres trabajando con boleta de honorarios
25% de los empleados son hombres trabajando de jornada completa
20% de los empleados son mujeres trbajando de media jornada
Opción 2: tomar los porcentajes con respecto al total de las filas
| sexo/contrato | BH | JC | MJ |
|---|---|---|---|
| Hombre | 0.29 | 0.59 | 0.12 |
| Mujer | 0.26 | 0.39 | 0.35 |
La sumas por FILAS de las porporciones de la tabla son iguales al 100%.
La interpretación se hace fila por fila.
| sexo/contrato | BH | JC | MJ |
|---|---|---|---|
| Hombre | 0.29 | 0.59 | 0.12 |
| Mujer | 0.26 | 0.39 | 0.35 |
Lectura:
De todos los empleados hombres, un 59% son de jornada completa
De todos los empleados hombres, un 29% trabajan por boletas de honorarios
De todos los empleados mujeres, un 26% trabajan por boletas de honorarios
Opción 3: tomar los porcentajes con respecto al total de las columnas
| sexo/contrato | BH | JC | MJ |
|---|---|---|---|
| Hombre | 0.45 | 0.53 | 0.2 |
| Mujer | 0.55 | 0.47 | 0.8 |
Las sumas por COLUMNAS de las porporciones de la tabla son iguales al 100%.
La interpretación se hace columna por columna.
| sexo/contrato | BH | JC | MJ |
|---|---|---|---|
| Hombre | 0.45 | 0.53 | 0.2 |
| Mujer | 0.55 | 0.47 | 0.8 |
Lectura:
De todos los empleados por boleta de honorarios, un 45% son hombres y 55% son mujeres
De todos los empleados de jornada completa, un 53% son hombres y 47% son mujeres
De todos los empleados de media jornada, solo un 20% son hombres y 80% son mujeres
Objetivo: Caracterizar el mercado de autos usados con datos provenientes de la página Chileautos - Caso Jeep
Resumen de variables 📊
Para las siguientes combinación de variables, elaborar la tabla cruzada y la gráfica de barras:
trans y combu
trans y modelo2
combu y modelo2
año y trans
año y combu
año y modelo2
Responder las siguientes preguntas
¿Cuántos autos Jeep son de antes de 2015?
¿Cuántos autos Jeep Compass son de antes de 2014 y qué porcentaje representa de todos los autos?
¿De todos los Jeep Compass, qué porcentaje son de transmisión automática y qué porcentaje manual?
¿De todos los Jeep automáticos, qué porcentaje son de bencina, y qué porcentaje Diesel?
¿Qué porcentaje de los autos Jeep Renegade son de transmisión manual?
¿Los autos Jeep son principalmente automáticos o manuales?
¿Los autos Jeep son principalmente de bencina o Diesel?
¿Hay autos Jeep manuales que sean de Diesel?
¿Cuál es el modelo de Jeep que tiene mayor cantidad de autos manuales?
¿Si quiero comprar un auto Jeep Diesel, de qué modelo puedo comprar?
¿La mayor cantidad de autos Jeep manuales son de cuál año?
¿Los autos Jeep de gas son de qué años?